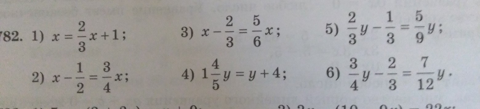
• СРОЧНО!!!!Плиззз :( Решите уравнения.Решить только под пунктом 1,3,5. 1)x=2/3x+1
    3)x-2/3=5/6x
    5)3/4y-2/3=7/12y
    Буду благодарна тем кто решит эти примеры.Обязательно подпишусь и отмечу как лучший ответ!!!

    question img

Ответы 2

  • Спасибо вам большое!
    • Автор:

      beckett
    • 6 лет назад
    • 0
  • Ответ:

    Пошаговое объяснение:

    см. вложение..............................

    answer img
  • Добавить свой ответ

Войти через Google

или

Забыли пароль?

У меня нет аккаунта, я хочу Зарегистрироваться

How much to ban the user?
1 hour 1 day 100 years