• Как решить это неравенство? (ЕГЭ, 15 вопрос)

    (В объяснялке на оригинальном сайте не очень понятно)

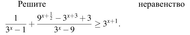
    question img

Ответы 1

  • Сначала нужно найти область допустимых значений - значения в знаменателе не могут быть равны нулю:

    \begin{cases}3^x-1eq0\\3^x-9eq0\end{cases}\Rightarrow\begin{cases}3^xeq1\\3^xeq9\end{cases}\Rightarrow\begin{cases}3^xeq3^0\\3^xeq3^2\end{cases}\Rightarrow\begin{cases}xeq0\\xeq2\end{cases}

    Затем  необходимо привести все степенные члены к одному основанию и подставить их в неравенство:

    9^{x+\frac12}=\left(3^2ight)^{x+\frac12}=3^{2\cdot(x+\frac12)}=3^{2x+1}=3^{2x}\cdot3^1=3\cdot3^{2x}\\3^{x+3}=3^x\cdot3^3=27\cdot3^x\\3^{x+1}=3^x\cdot3^1=3\cdot3^x\\\\\frac1{3^x-1}+\frac{3\cdot3^2x-27\cdot3^x+3}{3^x-9}\geq3\cdot3^x

    Затем нужно произвести замену переменной (для удобства, делать это необязательно) и упростить уравнение:

    3^x=t,\;\;\;3^{2x}=t^2,\;\;\;t>0\\\\\frac1{t-1}+\frac{3t^2-27t+3}{t-9}\geq3t\\\frac{(t-9)+(t-1)(3t^2-27t+3)}{(t-1)(t-9)}\geq3t\\\frac{t-9+3t^3-30t^2+30t-3}{t^2-10t+9}\geq3t\\3t^3-30t^2+31t-12\geq3t^3-30t^2+27t\\4t\geq12\\t\geq3

    Теперь производится обратная замена переменной, определятся значение x и записывается ответ с учётом ОДЗ:

    3^x\geq3\\x\geq1,\;xeq0,\;xeq2\\OTBET:\;\;x\in[1;2)\cup(2;+\infty)

    • Автор:

      jackhxqv
    • 6 лет назад
    • 0
  • Добавить свой ответ

Войти через Google

или

Забыли пароль?

У меня нет аккаунта, я хочу Зарегистрироваться

How much to ban the user?
1 hour 1 day 100 years