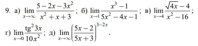
• Найти пределы функций, не пользуясь правилом Лопиталя. Пункты г) и д) вызвали затруднения. Помогите пожалуйста

    question img

Ответы 1

  • г) данный предел можно раскрыть с помощью эквивалентных бесконечно малых, а именно tgx ∼ x

           tg²3x                  (3x)²                       9x²

    lim    ____  = lim     _______  = lim     ______  = 0.9

    x->0  10x²      x->0     10x²           x->0    10x²

    д) а в этом случае нужно воспользоваться вторым классическим пределом

                 5x-2                                      5x-2                                         -5

    lim    ( ______ )^(3-2x) = lim     ( 1+ (_____  -1 ))^(3-2x) = lim     (1+ _____ )^

    x->∞      5x+3                        x->∞      5x+3                       x->∞          5x+3

                                                                   

    ^(3-2x)*(-5/(5x+3))*((5x+3)/(-5)) = lim    e^(3-2x)*(-5/(5x+3)) =

                                                        x->∞                                    

    = lim    e^(10x-15)/(5x+3) = e^2

      x->∞

    • Автор:

      tacoodud
    • 6 лет назад
    • 0
  • Добавить свой ответ

Войти через Google

или

Забыли пароль?

У меня нет аккаунта, я хочу Зарегистрироваться

How much to ban the user?
1 hour 1 day 100 years