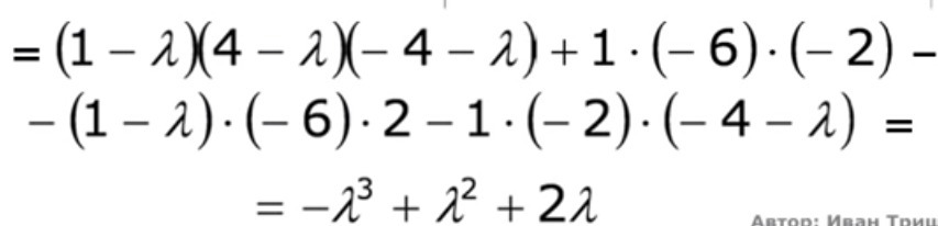
• Необходимо раскрыть эти скобки, итоговый ответ указан.

    question img

Ответы 4

  • Не поняла что у вас за буква, я писала А
    • Автор:

      finn155
    • 6 лет назад
    • 0
  • Спасибо большое.
    • Автор:

      mikaela
    • 6 лет назад
    • 0
  • пожалуйста
    • Автор:

      finn155
    • 6 лет назад
    • 0
  • Ответ:

    Пошаговое объяснение:

    answer img
    • Автор:

      finn155
    • 6 лет назад
    • 0
  • Добавить свой ответ

Войти через Google

или

Забыли пароль?

У меня нет аккаунта, я хочу Зарегистрироваться

How much to ban the user?
1 hour 1 day 100 years