• Помогите решить пожалуйста. Тема: степень с натуральным показателем и ее свойства.

    question img

Ответы 2

  • Ответ:

    Пошаговое объяснение:

    answer img
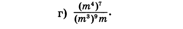
  • m в 24 степени m в 28 степени------------------------------ = ------------------------ = 1m в 27 степени × m m в 28 степени
    answer img
    • Автор:

      bailey46
    • 6 лет назад
    • 0
  • Добавить свой ответ

Войти через Google

или

Забыли пароль?

У меня нет аккаунта, я хочу Зарегистрироваться

How much to ban the user?
1 hour 1 day 100 years