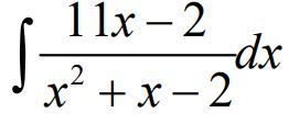
• Найти неопределенный интеграл. Результат проверить дифференцированием.

    question img

Ответы 1

  • Ответ:

    Решение в файле......

    Пошаговое объяснение:

    answer img
    • Автор:

      abelbrown
    • 6 лет назад
    • 0
  • Добавить свой ответ

Войти через Google

или

Забыли пароль?

У меня нет аккаунта, я хочу Зарегистрироваться

How much to ban the user?
1 hour 1 day 100 years