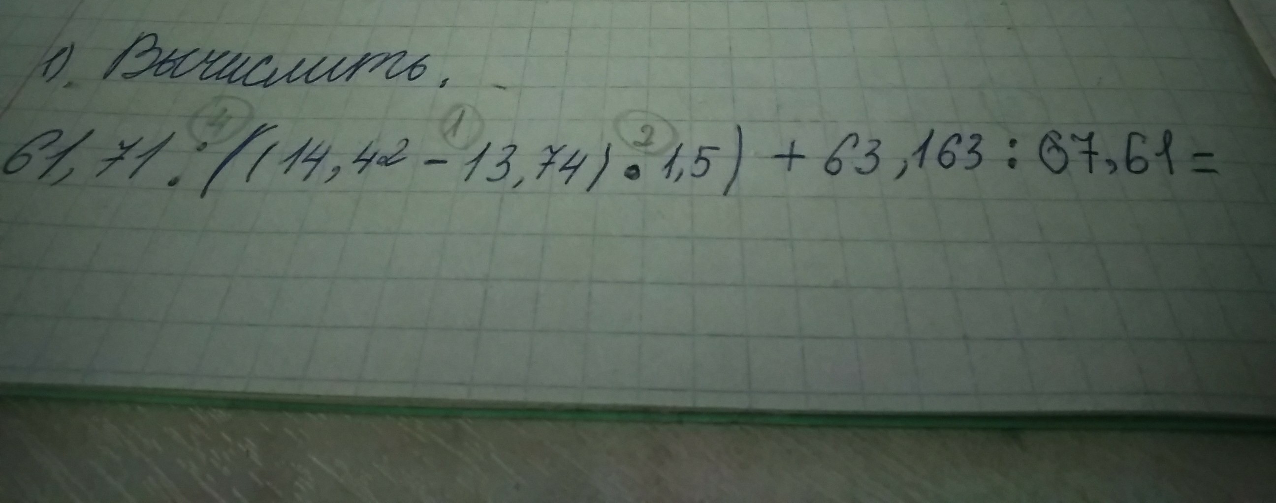
• ПОМОГИТЕ ПОЖАЛУЙСТА СРОЧНО РЕШИТЬ ПРИМЕР С ДВОЙНЫМИ СКОБКАМИ ТАМ ГДЕ ((14,42 ЭТО 42 А НЕ ЧЕТЫРЕ ВО ВТОРОЙ СТЕПЕНИ!!!!

    question img

Ответы 2

  • Ответ:

    Пошаговое объяснение:

    14.42-13.74=0.68

    0.68*1.5=1.02

    61.71:1.02=60.5

    63.163:7.61=8.3

    60.5+8.3=68.8

    • Автор:

      finn155
    • 6 лет назад
    • 0
  • ............................................
    answer img
  • Добавить свой ответ

Войти через Google

или

Забыли пароль?

У меня нет аккаунта, я хочу Зарегистрироваться

How much to ban the user?
1 hour 1 day 100 years