• ПОМОГИТЕ ПОЖАЛУЙСТА!
    РЕШИТЬ ПРИМЕРЫ,НЕ ПРОСТО ОТВЕТ А С РЕШЕНИЕМ!

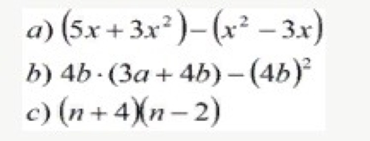
    question img

Ответы 1

  • Ответ:

    Пошаговое объяснение:

    (5х + 3х^2) - (х^2 - 3х) = 5х + 3х^2 - х^2 + 3х = 8х + 2х^2

    4b(3a + 4b) - (4b)^2 = 12ab + 16b^2 - 16b^2 = 12ab

    (n + 4)(n - 2) = n^2 - 2n + 4n - 8 = n^2 + 2n - 8

  • Добавить свой ответ

Войти через Google

или

Забыли пароль?

У меня нет аккаунта, я хочу Зарегистрироваться

How much to ban the user?
1 hour 1 day 100 years