• Сделайте срочно пожалуйста.Буду благодарен
    Хотябы несколько

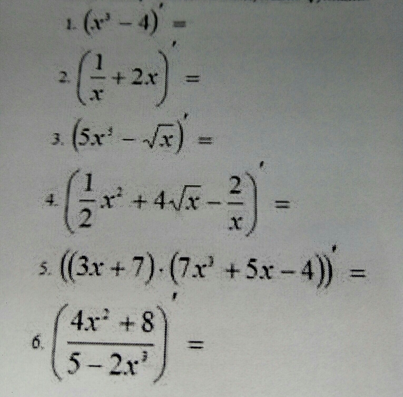
    question img

Ответы 2

  • спасибо большое
  • решение на фотографии
    answer img
    • Автор:

      hannauotc
    • 6 лет назад
    • 0
  • Добавить свой ответ

Еще вопросы

Войти через Google

или

Забыли пароль?

У меня нет аккаунта, я хочу Зарегистрироваться

How much to ban the user?
1 hour 1 day 100 years