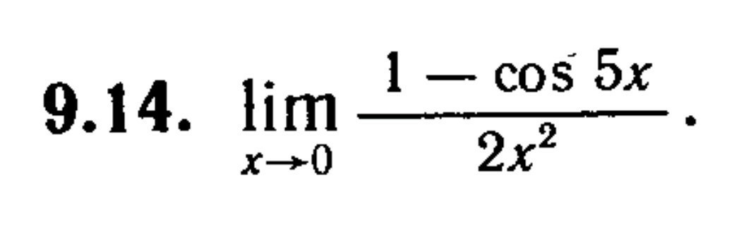
• Помогите решить пожалуйста. Только методом производных НЕ решайте,а надо методом преобразований

    question img

Ответы 1

  • Ответ:

    Пошаговое объяснение:

    answer img
  • Добавить свой ответ

Войти через Google

или

Забыли пароль?

У меня нет аккаунта, я хочу Зарегистрироваться

How much to ban the user?
1 hour 1 day 100 years