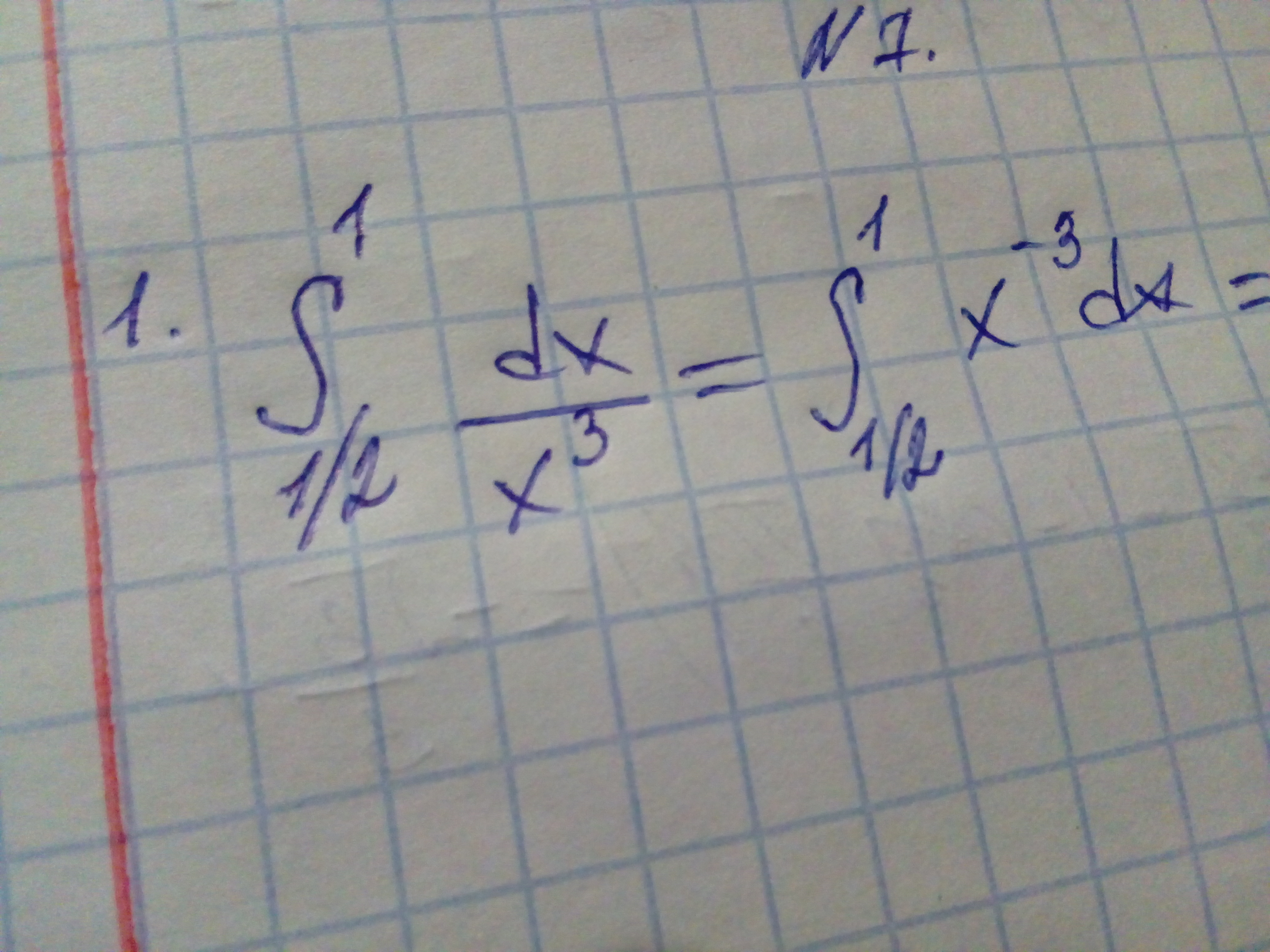
• решите пожалуйста, интеграл вверху 1 внизу 1/2 dx/x^3=?

    question img

Ответы 1

  • Ответ:

    1,5

    Пошаговое объяснение:

    = (x⁻²)/(-2) |(от 1/2 до 1) = -1/(2х²) |(от 1/2 до 1) = -1/2 + 1/(2*1/4) = -1/2 + 2 = 1,5

    • Автор:

      allie11
    • 6 лет назад
    • 0
  • Добавить свой ответ

Войти через Google

или

Забыли пароль?

У меня нет аккаунта, я хочу Зарегистрироваться

How much to ban the user?
1 hour 1 day 100 years