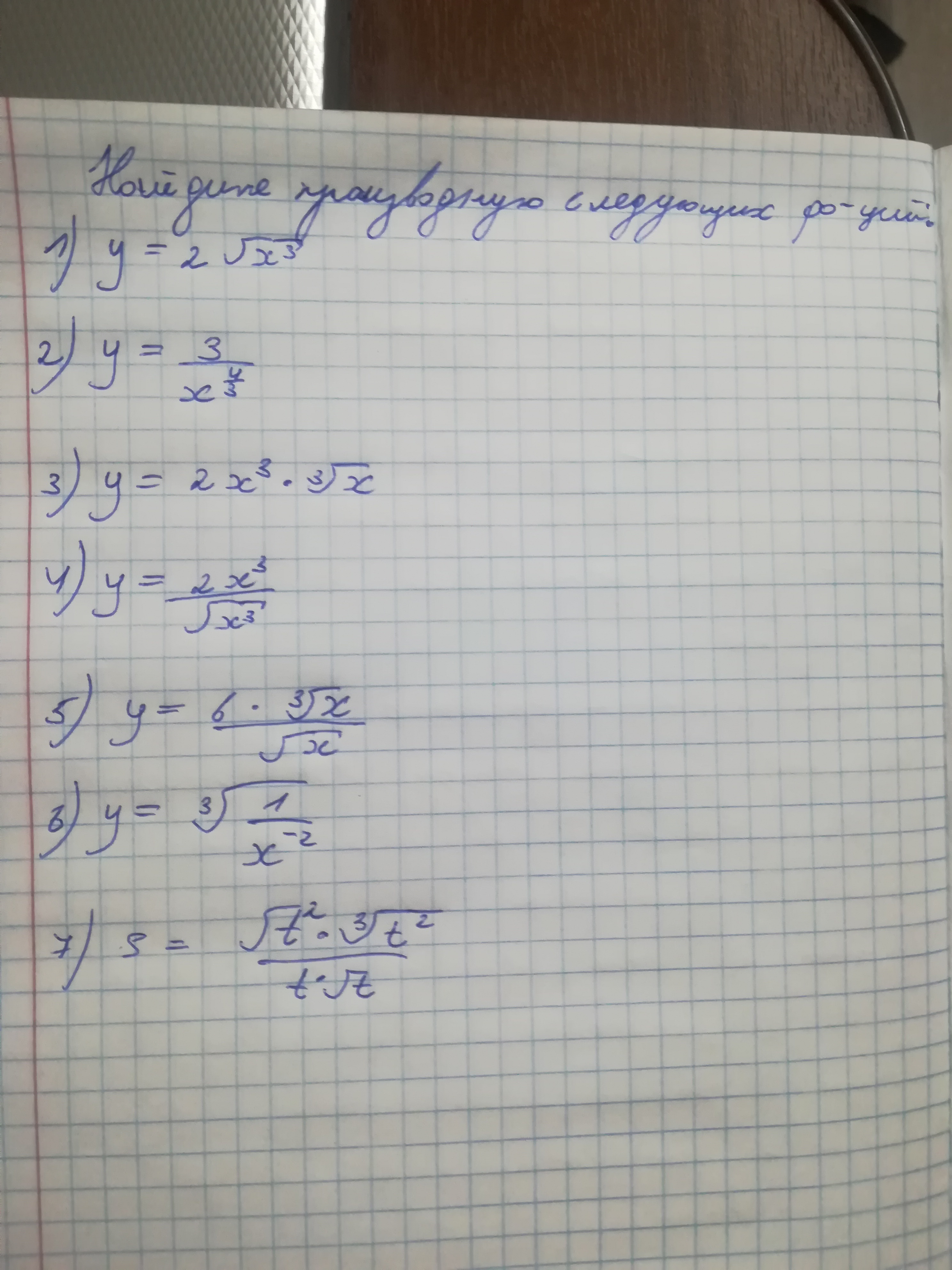
• Найдите производную функций. Умоляю, даю 98 баллов

    question img

Ответы 2

  • Спасибо за оценку
  • решение задания смотри на фотографии

    answer img
  • Добавить свой ответ

Войти через Google

или

Забыли пароль?

У меня нет аккаунта, я хочу Зарегистрироваться

How much to ban the user?
1 hour 1 day 100 years