• срочно сос помогите
    пожалуйста
    пожалуйста

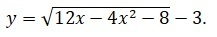
    question img

Ответы 5

  • может поможешь остальные решить очень нужно
    • Автор:

      linda
    • 6 лет назад
    • 0
  • пожалуйста
  • Если Вам не сложно....Помогите мне тоже, пожалуйста...( ВЫ ПОСЛЕДНЯЯ НАДЕЖДА(( https://znanija.com/task/31606790
    • Автор:

      hugo
    • 6 лет назад
    • 0
  • Ответ:

    Находим с помощью производной критические точки, исследуем их на экстремум

    Пошаговое объяснение:

    answer img
    • Автор:

      beckwyzw
    • 6 лет назад
    • 0
  • Ответ:

    Пошаговое объяснение:

    answer img
    • Автор:

      dexter
    • 6 лет назад
    • 0
  • Добавить свой ответ

Войти через Google

или

Забыли пароль?

У меня нет аккаунта, я хочу Зарегистрироваться

How much to ban the user?
1 hour 1 day 100 years