• выполните действия №547
    Помогите пожалуйста! Срочно надо​

    question img

Ответы 2

  • На здоровье!
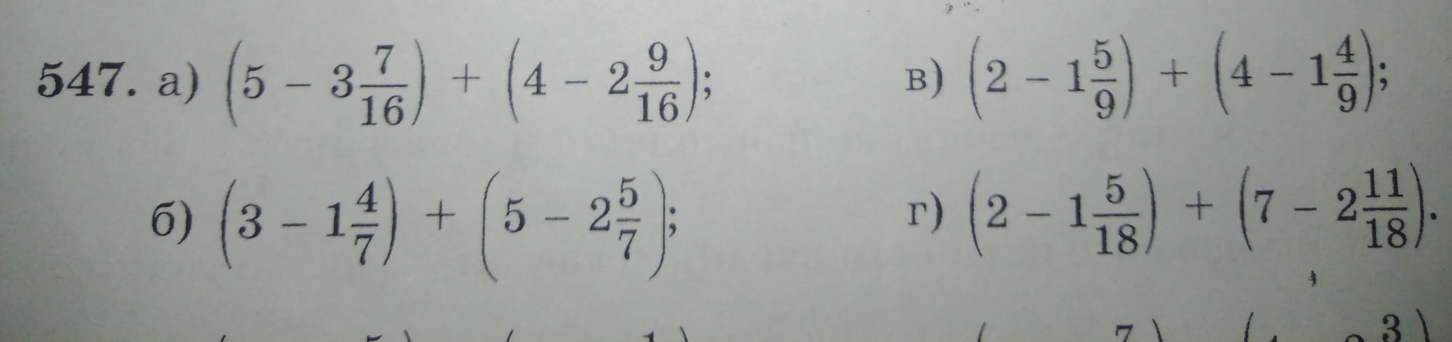
  • 1)(5-3 7/16)+(4-2 9/16)=(2+4)+(7/16+9/16)=6 16/16=7

    2)(3-1 4/7)+(5-2 5/7)=(2+3)-(4/7+5/7)=5-1 2/7=4 2/7

    3)(2-1 5/9)+(4-1 4/9)=(1+3)+(5/9+4/9)=4 9/9=5

    4)(2-1 5/18)+(7-2 11/18)=(1+5)-(5/18+11/18)=6-16/18=5 2/18

    • Автор:

      rose24
    • 6 лет назад
    • 0
  • Добавить свой ответ

Еще вопросы

Войти через Google

или

Забыли пароль?

У меня нет аккаунта, я хочу Зарегистрироваться

How much to ban the user?
1 hour 1 day 100 years