• скажите пожалуйста ................................................

    question img

Ответы 9

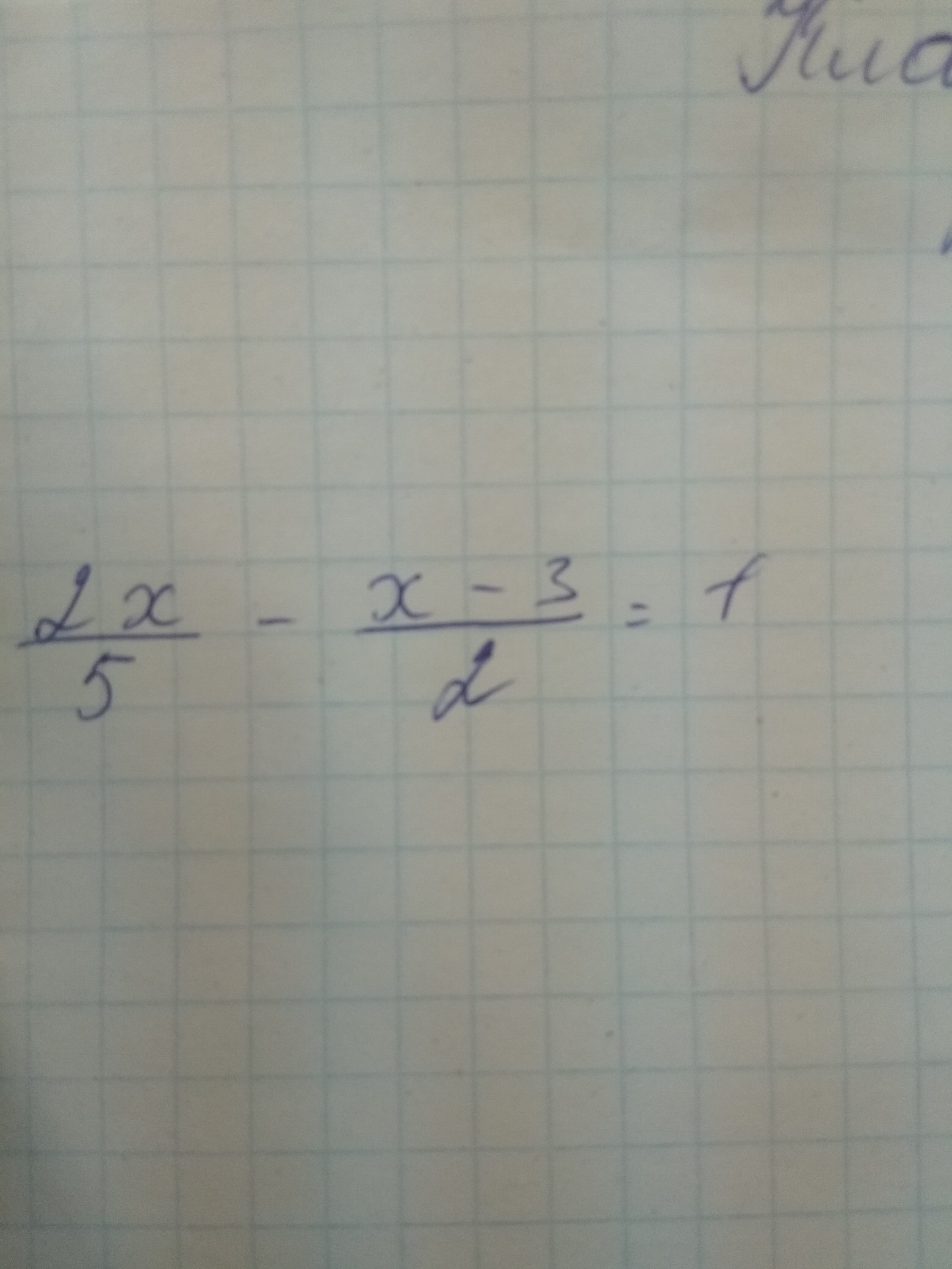
  • там вообще то не 10, а 1
    • Автор:

      kamila83
    • 6 лет назад
    • 0
  • Так что я все правильно сделала
    • Автор:

      darryl
    • 6 лет назад
    • 0
  • смешно даже
    • Автор:

      buzzdvhk
    • 6 лет назад
    • 0
  • попробуй вместо икса 5 поставить...
    • Автор:

      xena
    • 6 лет назад
    • 0
  • 1=1
  • а теперь попробуй поставить 14, и что ты видешь, по твоему 14=1?
    • Автор:

      clara1
    • 6 лет назад
    • 0
  • гениально!!!
    • Автор:

      goonubhy
    • 6 лет назад
    • 0
  • умножается крестом

    4х-5(х-3)=1

    4х-5х+15=1

    -х=-14

    х=14

  • ;) °°°°°°°°°°°°°°°°°°°°°°°°°°°°°°°°°°°°°°°°°°°°°°°°°°°°°°°°°°
    answer img
    • Автор:

      frisky
    • 6 лет назад
    • 0
  • Добавить свой ответ

Еще вопросы

Войти через Google

или

Забыли пароль?

У меня нет аккаунта, я хочу Зарегистрироваться

How much to ban the user?
1 hour 1 day 100 years