• Помогите с высшей математикой пожалуйста,очень нуждаюсь :)
    (полное решение нужно)
    Даю 10 баллов :)

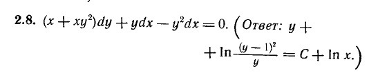
    question img

Ответы 1

  • Рассмотрите решение для этого ДУ с разделяющимися переменными.

    answer img
  • Добавить свой ответ

Еще вопросы

Войти через Google

или

Забыли пароль?

У меня нет аккаунта, я хочу Зарегистрироваться

How much to ban the user?
1 hour 1 day 100 years