• помогите срочно пожалуйста не могу решить мне только надо ответ


    question img

Ответы 1

  • Ответ:

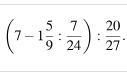
    2целых 1/4

    Пошаговое объяснение:

    14/9*24/7=16/3=5 1/3

    6 3/3-5 1/3=1 2/3=5/3

    5/3*27/20=9/4=2 1/4

    • Автор:

      columba
    • 6 лет назад
    • 0
  • Добавить свой ответ

Войти через Google

или

Забыли пароль?

У меня нет аккаунта, я хочу Зарегистрироваться

How much to ban the user?
1 hour 1 day 100 years