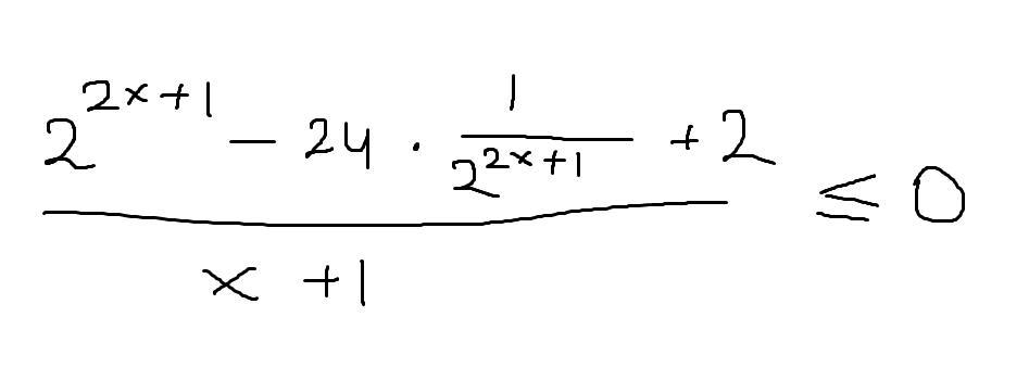
• Легкий пример с заменой, решите методом интервалов пж)
    У меня получилось (-беск до -1) и от(-1 до 0,5} . Ответ просто с учителем не сходится, а ошибку найти не получается)

    question img

Ответы 5

  • вы тут?
  • если да, то можете решить помочь с этим https://znanija.com/task/32020268
  • это тоже самое, но на конкретном примере
  • там 30+ баллов)
  • Ошибка в том, что при значении аргумента меньше -1 функция положительна.

    Вот результат подсчёта значений функции:

    x y

    -2 189,88

    -1,5 187,5

    -1,2 304,79

    -1 #ДЕЛ/0!

    -0,8 -168,59

    -0,5 -42

    0 -8

    0,3 -2,22

    0,5 0

    1 3,5

    2 11,08

    3 32,45

    Так что ответом будет: -1 < x ≤ 0,5.

    answer img
  • Добавить свой ответ

Войти через Google

или

Забыли пароль?

У меня нет аккаунта, я хочу Зарегистрироваться

How much to ban the user?
1 hour 1 day 100 years