• Помогите! Пожалуйста! Срочно!
    Решение обязательно (по порядку)

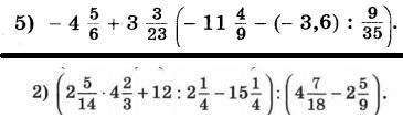
    question img

Ответы 1

  • Ответ:

    Пошаговое объяснение:

    5) -3,6:9/35=-18/5*35/9=-14

    -11 4/9-(-14)=-11 4/9+14=2 5/9

    3 3/23*2 5/9=72/23*23/9=8

    -4 5/6+8=3 1/6

    2) 2 5/14*4 2/3=33/14*14/3=11

    12:2 1/4=12*4/9=16/3=5 1/3

    11+5 1/3=16 1/3

    16 1/3-15 1/4=16 4/12-15 3/12=1 1/12

    4 7/18-2 5/9=4 7/18-2 10/18=1 5/6

    1 1/12:1 5/6=13/12*6/12=13/24

    • Автор:

      finn155
    • 6 лет назад
    • 0
  • Добавить свой ответ

Войти через Google

или

Забыли пароль?

У меня нет аккаунта, я хочу Зарегистрироваться

How much to ban the user?
1 hour 1 day 100 years