• кто понимает квадратные уравнения с параметром?


    объясните подоступнее, прошу(((


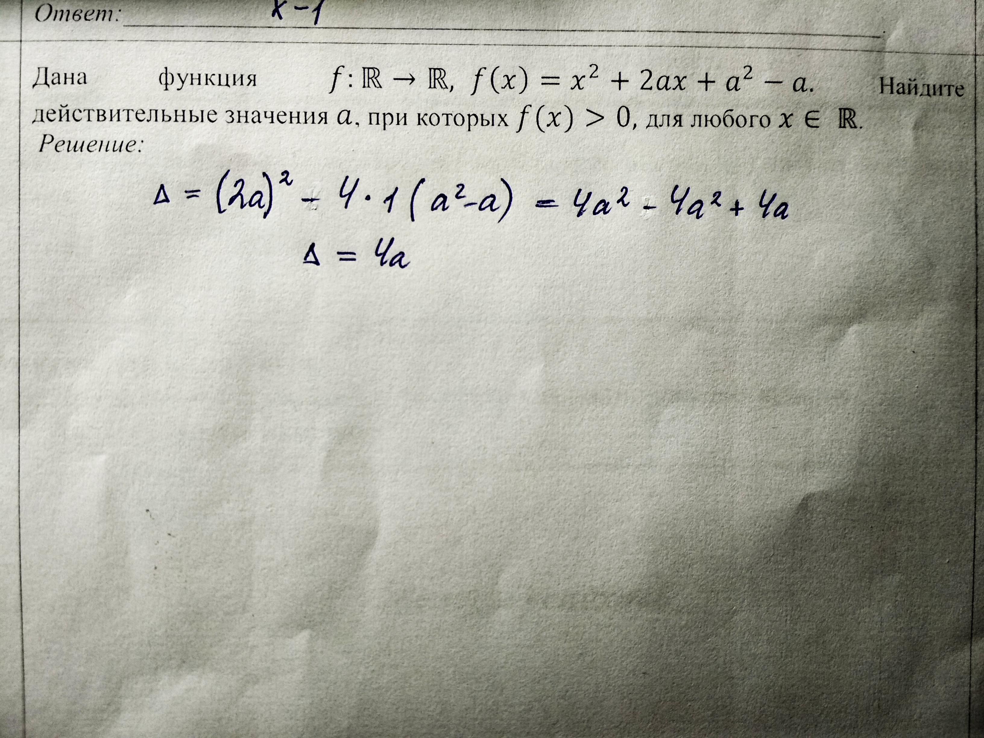
    задание внизу

    question img

Ответы 1

  • Ответ:

    Пошаговое объяснение:

    f(x)=ax²+bx+c

    если a>0 и d<0 то f(x)>0 для любого х

    f(x)=x²+2ax+a²-a

    коэффициент при x² равен 1 >0

    d=4a²-4(a²-a)=4a²-4a²+4a=4a

    d<0 => 4a<0 ; a<0

  • Добавить свой ответ

Войти через Google

или

Забыли пароль?

У меня нет аккаунта, я хочу Зарегистрироваться

How much to ban the user?
1 hour 1 day 100 years