• Помогите пожалуйста! 74-26/25:48/9(-5)*15/4

    question img

Ответы 1

  • Ответ:

    Пошаговое объяснение:

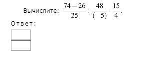
    74-26 / 25=48/25

    48/25:48/(-5)=48/25*(-5/28)=-1/5

    -1/5*15/4=-3/4

    • Автор:

      finn155
    • 6 лет назад
    • 0
  • Добавить свой ответ

Еще вопросы

Войти через Google

или

Забыли пароль?

У меня нет аккаунта, я хочу Зарегистрироваться

How much to ban the user?
1 hour 1 day 100 years