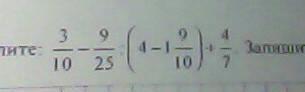
• сделайте на листочке и отправьте пжл срочно надо . Знаки идут по очереди сначала : - :. - +​

    question img

Ответы 2

  • да нет всё видно хорошо и понятно, а главное правильно спасибо &&&&&&&&&&
  • Если что не понятно, спрашивай

    answer img
    • Автор:

      chucky
    • 6 лет назад
    • 0
  • Добавить свой ответ

Войти через Google

или

Забыли пароль?

У меня нет аккаунта, я хочу Зарегистрироваться

How much to ban the user?
1 hour 1 day 100 years