• прошу подробно объяснить, если есть формулы, то тоже записать

    question img

Ответы 4

  • красиво) я бы по простому (6=2*3) возвел в квардарт там все корни сократились бы, получилось 4^3=64
    • Автор:

      elsaca4h
    • 6 лет назад
    • 0
  • и так можно }}}}
    • Автор:

      alma3odx
    • 6 лет назад
    • 0
  • огромное спасибо.
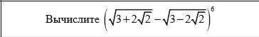
  • (√(3 + 2√2) - √(3 - 2√2))⁶ = 64

    √(3 + 2√2) = √(2 + 2√2 + 1) = √(√2² + 2*√2*1 + 1²) = √(√2 + 1)² = √2 + 1

    √(3 - 2√2) = √(2 - 2√2 + 1) = √(√2² - 2*√2*1 + 1²) = √(√2 - 1)² = |√2 - 1| = (√2 > 1) = √2 - 1

    (√2 + 1 - (√2 - 1))⁶ = (√2 + 1 - √2 + 1)⁶ = 2⁶ = 64

    формулы

    √x² = |x|

    (x +- a)² = x² +- 2xa + a²

    квадратный корень четной степени всегда число неотрицательное

  • Добавить свой ответ

Войти через Google

или

Забыли пароль?

У меня нет аккаунта, я хочу Зарегистрироваться

How much to ban the user?
1 hour 1 day 100 years