• помогите решить задачу пожалуйста! Если что нужен ответ с доказательством​

    question img

Ответы 1

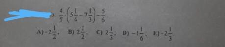
  •  \frac{4}{5} (5 \frac{1}{4}  - 7 \frac{1}{3} ) -  \frac{5}{6}  =  \\  =  \frac{4}{5} ( \frac{21}{4}  -  \frac{22}{3} ) -  \frac{5}{6}  =  \\  = \frac{4}{5} (  \frac{21 \times 3 - 22 \times 4}{12} ) -  \frac{5}{6}   =  \\  = \frac{4}{5} (  \frac{63 - 88}{12} ) -  \frac{5}{6}   = \\  = \frac{4}{5}  \times ( -  \frac{25}{12})  -  \frac{5}{6}    =  -  \frac{5}{3} -  \frac{5}{6} =  \\  =  \frac{ - 5 \times 2 - 5}{6}  =  -  \frac{15}{6}  =   \\  = - 2 \frac{3}{6}  =  - 2 \frac{1}{2}

    Ответ: А

    • Автор:

      alipio
    • 6 лет назад
    • 0
  • Добавить свой ответ

Войти через Google

или

Забыли пароль?

У меня нет аккаунта, я хочу Зарегистрироваться

How much to ban the user?
1 hour 1 day 100 years