• напишите пожалуйста максимально подробно решение, вообще не понимаю как решать

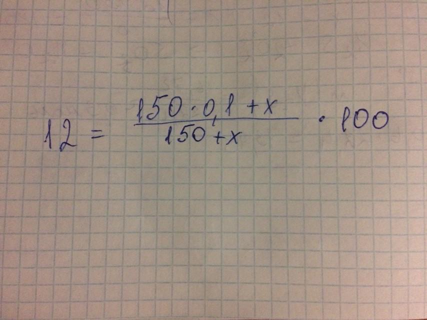
    question img

Ответы 3

  • Спасибо вам большое, очень помогли
    • Автор:

      allen83
    • 6 лет назад
    • 0
  • удачи!
  • Ответ:

    Пошаговое объяснение:

    answer img
  • Добавить свой ответ

Еще вопросы

Войти через Google

или

Забыли пароль?

У меня нет аккаунта, я хочу Зарегистрироваться

How much to ban the user?
1 hour 1 day 100 years