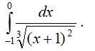
• Вычислить интеграл или установить его расходимость (на фото)

    question img

Ответы 1

  • =3\sqrt[3]{x+1} |_{-1}^0=3

    • Автор:

      raelynn
    • 6 лет назад
    • 0
  • Добавить свой ответ

Еще вопросы

Войти через Google

или

Забыли пароль?

У меня нет аккаунта, я хочу Зарегистрироваться

How much to ban the user?
1 hour 1 day 100 years