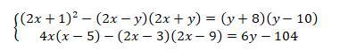
• Решите систему уравнений. В ответе укажите суму решений (х+у)

    question img

Ответы 2

  • огромное спасибо
  • Ответ:

    решение на листочке

    Пошаговое объяснение:

    answer img
  • Добавить свой ответ

Войти через Google

или

Забыли пароль?

У меня нет аккаунта, я хочу Зарегистрироваться

How much to ban the user?
1 hour 1 day 100 years