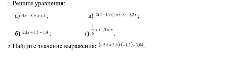
• Срочно помогите ! В школу через 10 минут!!! Расписать подробно!!!

    question img

Ответы 1

  • ответ на фото....................

    answer img
    • Автор:

      tankag1j
    • 6 лет назад
    • 0
  • Добавить свой ответ

Войти через Google

или

Забыли пароль?

У меня нет аккаунта, я хочу Зарегистрироваться

How much to ban the user?
1 hour 1 day 100 years