• Пожалуйста объясните как решается данное уравнение.

    question img

Ответы 4

  • Спасибо большое!
  • Не за что)
    • Автор:

      kevin118
    • 6 лет назад
    • 0
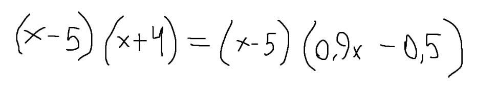
  • ( х - 5 ) ( х + 4 ) = ( х - 5 ) ( 0,9х - 0,5 )

    Каждый член одной скобки умножаем на другие члены во второй скобке :

    х² + 4х - 5х - 20 = 0,9х² - 0,5х - 4,5х + 2,5

    Иксы ( х ) переносим в одну сторону, а числа в другую :

    х² + 4х - 5х - 0,9х² + 0,5х + 4,5х = 2,5 + 20

    0,1х² + 4х = 22,5

    0,1х² + 4х - 22,5 = 0.

    Решаем дискриминантом :

    D = 16 - 4 × 0,1 × (-22,5) = 25 > 0. 5.

    х1 = (-4 + 5) / 0,2 = 1/0,2 = 5.

    х2 = (-4 - 5) / 0,2 = -9/0,2 = 45.

    Ответ : 5 ; 45.

    _______________________________

    Удачи))))

    • Автор:

      rodney
    • 6 лет назад
    • 0
  • Ответ:

    х₁=-45

    х₂=5

    Пошаговое объяснение:

    х²+4х-5х-20=0,9х²-0,5х-4,5х+2,5

    0,1х²+4х-22,5=0

    D=16+9=25=5²

    х₁=-45

    х₂=5

    • Автор:

      nona
    • 6 лет назад
    • 0
  • Добавить свой ответ

Войти через Google

или

Забыли пароль?

У меня нет аккаунта, я хочу Зарегистрироваться

How much to ban the user?
1 hour 1 day 100 years