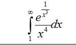
• Найти несобственный интеграл или доказать его расходимость

    question img

Ответы 2

  • обращение к несобственному интегралу
    • Автор:

      francisco
    • 6 лет назад
    • 0
  • \displaystyle \int_{1}^{\infty}{e^{1\over x^3}\over x^4}=\begin{vmatrix}&{1\over x^3}=t\\&\mathrm{dx}=-{\mathrm{dt}\over 3x^{-4}}\\&t_2=0,\; t_1=1\end{vmatrix}=-{1\over3}\int_{1}^{0} e^t\mathrm{dt}={1\over3}\int_{0}^{1} e^t\mathrm{dt}=3e^t\bigg|_{0}^{1}={1\over3}(e-1)\approx 0,57276

    • Автор:

      vargas
    • 6 лет назад
    • 0
  • Добавить свой ответ

Еще вопросы

Войти через Google

или

Забыли пароль?

У меня нет аккаунта, я хочу Зарегистрироваться

How much to ban the user?
1 hour 1 day 100 years