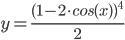
• Найдите производную функции :
    (функция на фото)

    question img

Ответы 2

  • Вообщем, у меня вышло так само.Не пойму почему в решении, где я смотрел, почему то выражение в скобках не подносили в третий степень, а была вообще первая степень...
    • Автор:

      lawson
    • 6 лет назад
    • 0
  • Ответ:

    Пошаговое объяснение:

    y' = 2(1-2cosx)³*(-2 * (-sinx)) = 4sinx(1 - 2cosx)³

    • Автор:

      yuremqwkk
    • 6 лет назад
    • 0
  • Добавить свой ответ

Войти через Google

или

Забыли пароль?

У меня нет аккаунта, я хочу Зарегистрироваться

How much to ban the user?
1 hour 1 day 100 years