• Люди тема: Синусы,косинусы,тангенсы,котангенсы.
    Я вас очень прошу обьяснить как вы решили данный пример

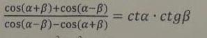
    question img

Ответы 1

  • Пошаговое объяснение:  

    cos(\alpha+\beta) = cos\alpha cos\beta - sin\alpha sin\beta\\cos(\alpha -\beta) = cos\alpha cos\beta - sin\alpha sin\beta\\

    Получаем:

    (cos\alpha cos\beta - sin\alpha sin\beta + cos\alpha cos\beta+sin\alpha sin\beta)/(cos\alpha cos\beta + sin\alpha sin\beta - cos\alpha cos\beta + sin\alpha sin\beta) = 2cos\alpha cos\beta/ 2sin\alpha sin\beta = ctg\alpha ctg\beta

    • Автор:

      jorden
    • 6 лет назад
    • 0
  • Добавить свой ответ

Еще вопросы

Войти через Google

или

Забыли пароль?

У меня нет аккаунта, я хочу Зарегистрироваться

How much to ban the user?
1 hour 1 day 100 years