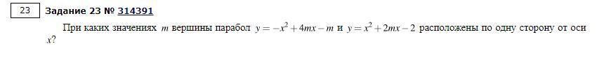
• Как решить это??? Объясните по проще я этой теме нечего не понимаю.

    question img

Ответы 6

  • если решил системы, то все. это ответ
    • Автор:

      lady
    • 6 лет назад
    • 0
  • А в ответ что надо записать ???
    • Автор:

      oscarszin
    • 6 лет назад
    • 0
  • промежутки
  • промежутки например : "от 3 до 4" такие???
    • Автор:

      bryanm1yg
    • 6 лет назад
    • 0
  • да
    • Автор:

      myliesjra
    • 6 лет назад
    • 0
  • Ответ:

    Так, ну решать не сказали, так что я просто объясню

    Пошаговое объяснение:

    Когда ты решаешь квадратное уравнение, то ты считаешь дескреминант. Вас должны были учить, что если он равен нулю, то корень один, если больше нуля, то корня 2, если меньше нуля, то корней нет. Так вот в этом и смысл задачи. Когда у тебя один корень то парабола касается оси ох, когда два корня, то пересекает, когда нету корней парабола не пересекает ось ох. Так же надо знать, что если перед x^2 стоит минус, то ветви направленны вниз, если плюс, то вверх. Нарисую пожалуй. Т.к нам нужно, чтобы вершина параболы находились по одну сторону оси ОХ, то должно быть либо так, либо так(нарисую). Тогда у нас получаются 2 систем: когда дескреминант первого уравнения больше нуля, а дескреминант второго меньше нуля, или дескреминант первого меньше, а второго больше. Решаем систему неравенств(нарисую). Ответ

    answer img
    • Автор:

      daffye1a6
    • 6 лет назад
    • 0
  • Добавить свой ответ

Войти через Google

или

Забыли пароль?

У меня нет аккаунта, я хочу Зарегистрироваться

How much to ban the user?
1 hour 1 day 100 years