• 1. Доведiть, що якщо a2 + b2 + c2 = ab + bc + ca , то a = b = c . ПЖ СРОЧНО НУЖНО ДАЮ 40 БАЛОВ

Ответы 2

  • Відповідь:Помножимо обидві частини рівняння на 2 і згрупуємо члени таким чином:

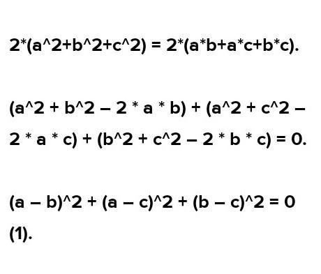
    2*(a^2+b^2+c^2) = 2*(a*b+a*c+b*c).

    (a^2 + b^2 – 2 * a * b) + (a^2 + c^2 – 2 * a * c) + (b^2 + c^2 – 2 * b * c) = 0.

    (a – b)^2 + (a – c)^2 + (b – c)^2 = 0 (1).

    Кожне вираз рівняння (1) може бути менше нуля, оскільки зведено квадрат.

    Значить, щоб рівняння (1) дорівнювало нулю, кожен його член повинен дорівнювати нулю.

    (a - b) ^ 2 = 0.

    (a - c) ^ 2 = 0.

    (b - c) ^ 2 = 0.

    Тоді,

    a - b = 0.

    a - c = 0.

    b - c = 0.

    Отже, a = b = c.

    Покрокове пояснення:

    • Автор:

      hughnqh9
    • 3 года назад
    • 9
  • Ответ:

    вот тебе ответ

    answer img
  • Добавить свой ответ

Еще вопросы

Войти через Google

или

Забыли пароль?

У меня нет аккаунта, я хочу Зарегистрироваться

How much to ban the user?
1 hour 1 day 100 years