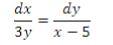
• Найти общее решение дифференциального уравнения: Знайти загальний розв’язок диференціального рівняння:

    question img

Ответы 1

  • Это дифференциальное уравнение с разделяющимися переменными.

    \displaystyle \int 3ydx=\int (x-5)dx

    \dfrac{3y^2}{2}=\dfrac{x^2}{2}-5x+C

    y=\pm\sqrt{\dfrac{x^2}{3}-\dfrac{10x}{3}+C} - общее решение

  • Добавить свой ответ

Еще вопросы

Войти через Google

или

Забыли пароль?

У меня нет аккаунта, я хочу Зарегистрироваться

How much to ban the user?
1 hour 1 day 100 years