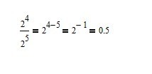
Обьясните пожалуйста как сокращать дробь со степенью 6 класс))вот пример!!откуда цифырки наверху))):D ПОМОГИТЕ ПОЖАЛУЙСТА НЕ МОГУ ПОНЯТЬ)))(((ПОЖАЛУЙСТА!!!!!!!!!!!!!!!!!!!!!!!!!
Предмет:
МатематикаАвтор:
oreo52Автор:
brandiv82iДобавить свой ответ
Предмет:
Другие предметыАвтор:
ziggypa0pОтветов:
Смотреть
Предмет:
Русский языкАвтор:
bridgettОтветов:
Смотреть
Предмет:
ГеометрияАвтор:
adriánzt9cОтветов:
Смотреть