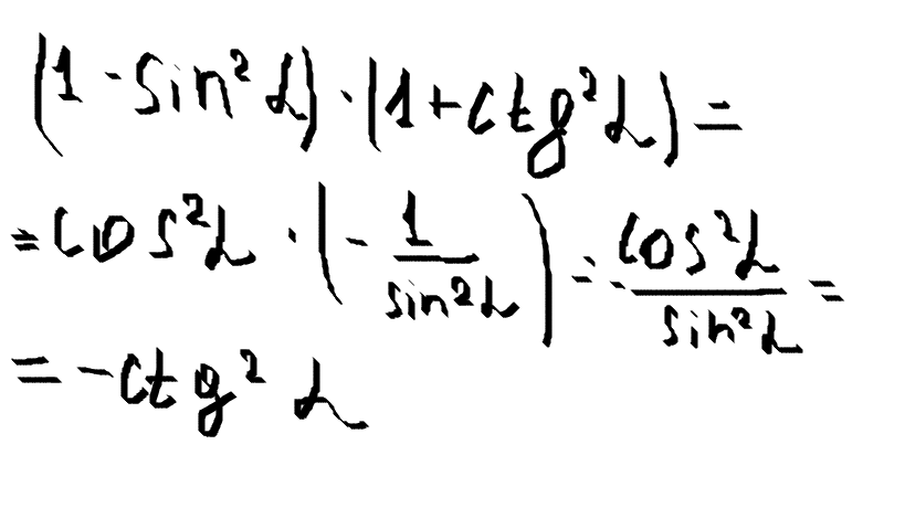
• Упрастите выражение:
    (1-sin2L)(1+ctg2L)

    P.S синус квадрат альфа и катангенс квадрат альфа буду очень благодарен

Ответы 1

  • P.S синус квадрат альфа и катангенс квадрат альфа буду очень благодаренУпрастите выражение: (1-sin2L)(1+ctg2L)
    answer img
    • Автор:

      celloqcmr
    • 2 года назад
    • 8
  • Добавить свой ответ

Еще вопросы

Войти через Google

или

Забыли пароль?

У меня нет аккаунта, я хочу Зарегистрироваться

How much to ban the user?
1 hour 1 day 100 years