• НЕ ЖАЛЕЮ БАЛЛОВ!!! ПОМОГИТЕ!! 
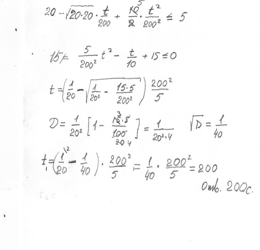
    В боковой стенке высокого цилиндрического бака вблизи дна закреплен кран. После его открытия вода начинает вытекать из бака, при этом высота столба воды в нем, выраженная в метрах, меняется по закону H(t)=[tex] H_{0} - \sqrt{2g H_{0} }kt+ \frac{g}{2} k^{2} t^{2} [/tex]? где t - прошедшее время(в секундах), [tex]H_{0} [/tex]=20м - начальная высота столба воды, k=[tex] \frac{1}{200} [/tex] - отношение площадей поперечных сечений крана и бака, а g=10м/с - ускорение свободного падения. К какому моменту времени в баке останется не более чем четверть первоначального объема? Ответ выразите в секундах. 

Ответы 1

  •                       Решение:Смотри вложение:......
    answer img
  • Добавить свой ответ

Войти через Google

или

Забыли пароль?

У меня нет аккаунта, я хочу Зарегистрироваться

How much to ban the user?
1 hour 1 day 100 years