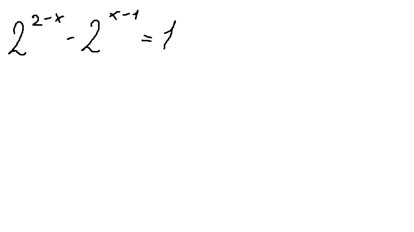
• Ребят помогите подробно решить каждое действие ,а то я не понимаю!

    question img

Ответы 3

  • 2 умнож на 2 1 на 1
    • Автор:

      potts
    • 6 лет назад
    • 0
  • А как тут 8 получилось и 2t это что?
    • Автор:

      liduvina
    • 6 лет назад
    • 0
  • там после равно не t, а 1(единица) - я ошиблась
  • Добавить свой ответ

Еще вопросы

Войти через Google

или

Забыли пароль?

У меня нет аккаунта, я хочу Зарегистрироваться

How much to ban the user?
1 hour 1 day 100 years