• В параллелограмме ABCD проведена высота из вершины B тупого угла насторону DA. Отношение сторон параллелограмма AD:AB=4:1. Отношениедиагоналей параллелограмма AC:BD=3:1. Найти в каком отношении высотаразделила сторону DA, считая от вершины D

Ответы 1

  • А рисунок тебе нужен или сам, что-нибудь накалякаешь?
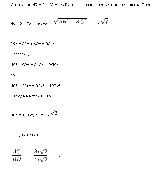
    answer img
  • Добавить свой ответ

Еще вопросы

Войти через Google

или

Забыли пароль?

У меня нет аккаунта, я хочу Зарегистрироваться

How much to ban the user?
1 hour 1 day 100 years