• Прошу помочь решить ТОЛЬКО ПЕРВЫЙ пример. Очень хочу получить объяснения, просто ответ у меня и так есть...
    Большое спасибо!

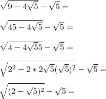
    question img

Ответы 1

  •  \sqrt{9-4 \sqrt{5} } - \sqrt{5} = \sqrt{ \sqrt{5}^2-2*2 \sqrt{5}+2^2  } - \sqrt{5}= \\   \sqrt{( \sqrt{5}-2 )^2}- \sqrt{5}= \sqrt{5}-2- \sqrt{5}=-2    надо смотреть полный квадрат и выводить его из под корня - только корень это положительное число и надо помнить чтобы выводить положитедбное√(5-2)²=√(2-5)²     5>2 √(5-2)²=5-2 но не 2-5 'nj vtumit 0
  • Добавить свой ответ

Войти через Google

или

Забыли пароль?

У меня нет аккаунта, я хочу Зарегистрироваться

How much to ban the user?
1 hour 1 day 100 years