• тригонометрия, помогите пожалуйста упростить :'(

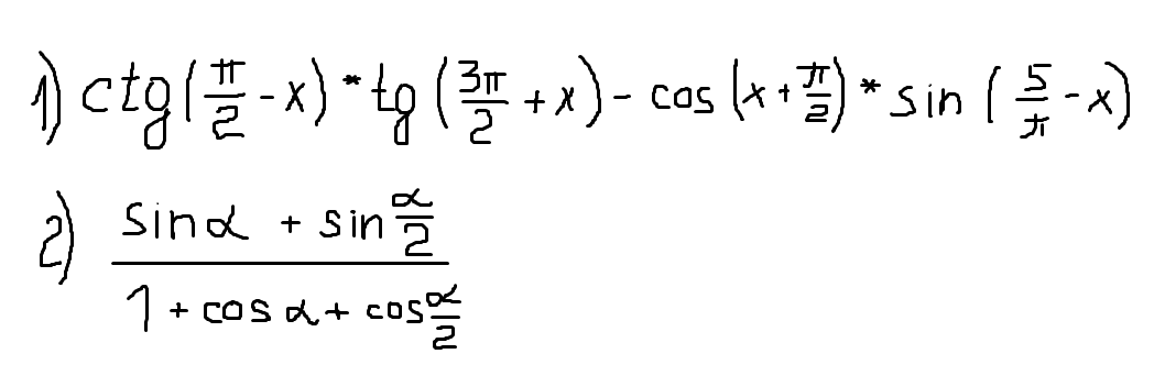
    1. ctg((π/2)-x)*tg((3π/2+x))-cos(x+(π/2))*sin((5π)-x)
    2. (sinα+sin(α/2))/(1+cosα+cos(α/2)) 
     

    question img

Ответы 1

  • 1) tgx*ctgx*(-1) - sinx*sinx = -sin^2x-1
    • Автор:

      garza
    • 6 лет назад
    • 0
  • Добавить свой ответ

Войти через Google

или

Забыли пароль?

У меня нет аккаунта, я хочу Зарегистрироваться

How much to ban the user?
1 hour 1 day 100 years