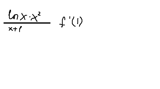
• найти производную f(1)'
    ))))))))))))))))))))))))))))))))))))

    question img

Ответы 1

  • Сначала найдем производную f(x):f'(x)={\frac{x( x\ln(x)+2\,\ln (x)+x+1)}{(x+1) ^{2}}}f'(1)={\frac {(ln (1) +2ln (1) +1+1 ) }{ ( 1+1 ) ^{2}}} =  \frac{2}{4} = \frac{1}{2} Ответ: 1/2.
    • Автор:

      scott
    • 6 лет назад
    • 0
  • Добавить свой ответ

Еще вопросы

Войти через Google

или

Забыли пароль?

У меня нет аккаунта, я хочу Зарегистрироваться

How much to ban the user?
1 hour 1 day 100 years