• Помагите пожайлуста решить уравнения!
    Буду вам очень благодарна!

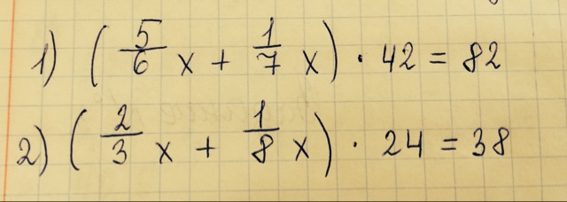
    question img

Ответы 2

  • Сначала раскрываешь скобки.получается 35x+6x=8241x=82x=2Ответ: 2.
  • 35х+6х=8241х=82х=2Ответ: х=216х+3х=3819х=38х=2Ответ: х=2
    • Автор:

      haylie
    • 6 лет назад
    • 0
  • Добавить свой ответ

Войти через Google

или

Забыли пароль?

У меня нет аккаунта, я хочу Зарегистрироваться

How much to ban the user?
1 hour 1 day 100 years