• Помогите построить квадратное уравнение при помощи замены.

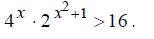
    4^x*2^x(и икс в квадрате + 1)больше 16

    question img

Ответы 1

  • 4^х * 2 ^(x²+1 )>162^(2x) * 2^(x²+1) >16 2^(x² +2x +1) > 162^(x+1)² >16 при x>1  данное неравенство справедливо:2^(1+1)² = (2²)² =4² = 16А  если знак "больше" заменить на  "="  будет уравнение
    • Автор:

      persy62
    • 6 лет назад
    • 0
  • Добавить свой ответ

Войти через Google

или

Забыли пароль?

У меня нет аккаунта, я хочу Зарегистрироваться

How much to ban the user?
1 hour 1 day 100 years