ученикам 7 класса вопрос 2983 по математике
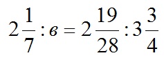
решите уравнение:2 1/7 : b=2 19/28 : 3 3/4
взрослым дядям просьба не мешать
для решения рекомендую использовать
редактор формул в Worde
кстати
не вижу его в Office 2010
Предмет:
МатематикаАвтор:
paytongca31) 21:7 в=219/28 :33/4
3в = (делим и переводим в неправельную дробь,сокращаем)
3в = 73/33
в = 73/33: 3 ( 73/33 дробь- при делении вторую дробь переварачиваем1/3)
в = 73/99
2) периводим все дроби в неправильные
15/7 : в = 75/28:15/4
15/7 : в = ( 75/28:15/4 -эти дроби делим между сабой и сокращаем)
15/7 : в = 5/7 дробью
в = 15/7 :5/7 вторую дробь переворачиваем
в = 15/7 * 7/5 семёрки сокращаются , 15 и 5 сократим на 5
в = 3
Автор:
duchessnjnoДобавить свой ответ
ООООчень надо ко 2 сентября: Восстановите левые части уравнений, укажите типы реакций. А) ... -(450градусов С, AlCl3)-> 2-метилпропан Б) ... + ... -> ch2cl-ch2cl
Сказка о рыбаке и рыбке к чему отнести:
Учимся уму-разуму
О родной природе
Сказки, загадки, скороговорки.
Предмет:
ЛитератураАвтор:
frecklesrestОтветов:
Смотреть
ПОМОГИТЕ,СРОЧНО НУЖНО,РЕБЯТА :з
Висота рівнобічної трапеції,проведена з вершини тупого кута,поділяє більшу основу трапеції на відрізки завдовжки 3см і 11 см. Знайдіть основи трапеції
Предмет:
ГеометрияАвтор:
caelvalentineОтветов:
Смотреть
Найдите сумму всех различных корней уравнения
Предмет:
АлгебраАвтор:
emanuelchenОтветов:
Смотреть