• Помогите решить уравнение
    6 класса
    Очень прошу

    question img

Ответы 2

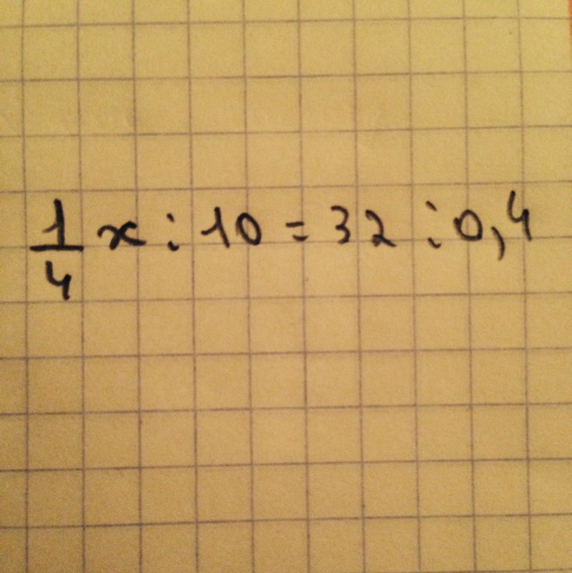
  • 0,4х/4=10*320,1х=320х=320/0,1х=3200
    • Автор:

      lauran3oq
    • 6 лет назад
    • 0
  • х\4\(10)=32\0,40,4х\4=32*100,4х\4=3200,4х=320*40,4х=1280х=1280\0,4х=3200проверка3200\4\10=32\0,4800\10=8080=80Ответ ------ х=3200
    • Автор:

      le
    • 6 лет назад
    • 0
  • Добавить свой ответ

Еще вопросы

Войти через Google

или

Забыли пароль?

У меня нет аккаунта, я хочу Зарегистрироваться

How much to ban the user?
1 hour 1 day 100 years