Если в одном из слагаемых знаменатель обратится в ноль, то
будем считать, что ряд расходится (т.к. в нём есть бесконечное слагаемое). В противном случае ряд сходится по признаку сравнения со сходящимся рядом 1/n^2.Ответ 1. Ряд сходится при всех x, кроме целых отрицательных.Замечание о "будем считать". Тут некоторая проблема в том, что слагаемые можно переписать в виде
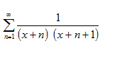
(x+n+1)}=\frac1{x+n}-\frac1{x+n+1})
Тогда частичная сумма равна (если все дроби конечны)
=\frac1{x+1}-\frac1{x+N+1})
(Такой ряд часто называют "телескопическим", т.к. при раскрытии скобок почти все слагаемые сокращаются)Последнее слагаемое стремится к нулю (примерно как 1/N), так что сумма ряда равна

и очень хочется сказать, что ряд сходится при всех x, кроме -1 (а быть может возникающая бесконечность "сокращается" с такой же бесконечностью). Если понимать сумму ряда в таком смысле, то область сходимости станет более широкой.