• помогите решить дроби.там написаны ответы нужно токо сомо решение.

    Кто поможет пишите в комент.

    question img
    question img

Ответы 2

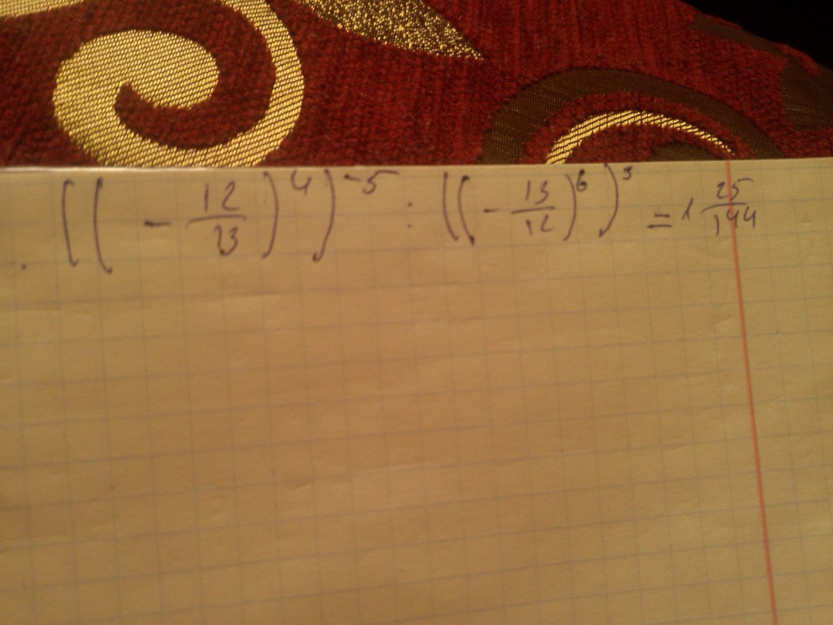
  • ((- \frac{12}{13} ) ^{4} ) ^{-5} : ((- \frac{13}{12} ) ^{6}) ^{3}  =(- \frac{12}{13} ) ^{-20}:(- \frac{13}{12} ) ^{18}== (- \frac{13}{12} ) ^{20}*(- \frac{12}{13} ) ^{18}= (\frac{13}{12} ) ^{20}*( \frac{12}{13} ) ^{18}= \frac{ 13^{20} }{12^{20}} * \frac{12^{18}}{13^{18}} == \frac{ 13^{18}*13^{2}*12^{18} }{12^{18}*12^{2}*13^{18}} = \frac{ 13^{2} }{ 12^{2} } = \frac{169}{144} =1 \frac{25}{144}
  • (-12/13)^4)^-5)=(-12/13)^(-4*5)=(-12/13)^-20=(13/12)^20((-13/12)^6)^3=(-13/12)^(6*3)=(13/12)^18((13/12)^20):(13/12)^18=((13/12)^2)*((13/12)^18)*(12/13)^18=((13/12)^2)==169/144=1 25/14489.a)((-1,4)^-5):(-5/7)^6-1,4=-1 4/10 = -1 2/5=-7/5(-7/5)^-5) :(-5/7)^6=(-5/7)^5)*(-7/5)^6=(-5/7)^5)*(-7/5)^5)*(-7/5)=(-7/5)90.a)((1 1/4)^-9)*(5/4)^8)(0,8)^-5(0,8)^-5=(4/5)^-5=(5/4)^51 1/4)=5/4((5/4)^-9)*(5/4)^8=(5/4)^-1((5/4)^-1)*(5/4)^5=(5/4)^4=625/256=2 113/256 (тут не совпадает с ответом)91.a)(2^2)*(1/4)*4*((1/2)^-3):1/(2^3)(2^2)*(1/4)=4/4=1(1/2)^-3)=2^34=2^2(2^3)(2^2):(1/(2^3))=(2^3)*(2^2)*(2^3)=2^8=25692.a)(( 1 1/5)^-1 - 2^-2)^31 1/3=4/3( 4/3)^-1=3/42^-2=1/43/4-1/4=1/2(1/2)^3=1/8
  • Добавить свой ответ

Войти через Google

или

Забыли пароль?

У меня нет аккаунта, я хочу Зарегистрироваться

How much to ban the user?
1 hour 1 day 100 years