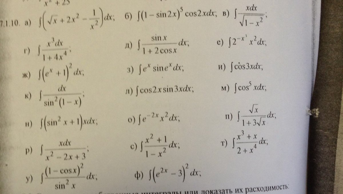
• Помогите пожалуйста с решением интегралов. Хотя бы несколкьо

    question img

Ответы 1

  • 1)\; \int (e^{x}+1)^2dx=\int (e^{2x}+2e^{x}+1)dx=\frac{1}{2}e^{2x}+e^{x}+x+C\\\\2)\; \int \frac{x^3dx}{1+4x^4}=[t=1+4x^4,dt=16x^3dx]=\int \frac{dt}{16t}=\\\\=\frac{1}{16}ln|t|+C=\frac{1}{16}ln|1+4x^4|+C\\\\3)\; \int e^{x}\cdot sine^{x}dx=[t=e^{x},dt=e^{x}dx]=\int sintdt=\\\\=-cost+C=-cose^{x}+C\\\\4)\; \int cos3xdx=\frac{1}{3}sin3x+C\; [t=3x,dt=3dx]5)\; \int \frac{sinxdx}{1+2cosx}=[t=1+2cosx,dt=-2sinxdx]=-\frac{1}{2}\int \frac{dt}{t}=\\\\=-\frac{1}{2}ln|t|+C=-\frac{1}{2}ln|1+2cosx|+C\\\\6)\; \int \frac{x^2+1}{1-x^2}dx=-\int \frac{x^2+1}{x^2-1}dx=-\int (1+\frac{2}{x^2-1})dx=-x-2\cdot \frac{1}{2}ln|\frac{x-1}{x+1}|+C\\\\7)\; \int \frac{dx}{sin^2(1-x)}=[t=1-x,dt=-dx]=-\int \frac{dt}{sin^2t}=-(-ctdt)+C=\\\\=ctg(1-x)+C
    • Автор:

      roman795
    • 6 лет назад
    • 0
  • Добавить свой ответ

Войти через Google

или

Забыли пароль?

У меня нет аккаунта, я хочу Зарегистрироваться

How much to ban the user?
1 hour 1 day 100 years